2022. 8. 30. 21:55ㆍSTUDY/알고리즘
Given a binary tree, find height of it. Height of empty tree is -1, height of tree with one node is 0 and height of below tree is 2.
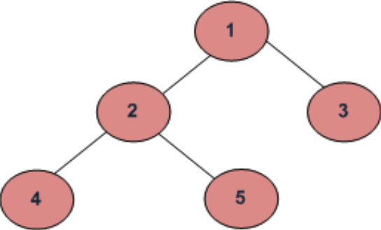
( root node 는 0으로 카운트해서 -1을 해주는 거군요. 그래서 아래의 tree 의 depth 는 2임 ! )

maxDepth() 의 pseudo code detail 을 한번 살펴보자.
거꾸로다 거꾸로! 아래의 4,5번부터 count 한다.
4,5는 자식이 없으니 0, 2는 자식(4,5) 이 있으니 1, 1은 2,3이라는 자식이 있으니 2가된다.
maxDepth()
1. If tree is empty then return -1.
2. Else !
( a ) Get the max depth of left subtree recursively . ( call maxDepth( tree->left-subtree )
( b ) Get the max depth of right subtree recursively. ( call maxDepth( tree->right-subtree )
( c ) Get the max depths of left & right subtrees and add 1 to it for the current node.
max_depth = max(max depth of left-sub, max depth of right-sub) + 1;
( d ) Return max_depth. !
class node
{
public:
int data;
node* left;
node* right;
};
int maxDepth(node* node)
{
if(node == NULL) return -1;
else {
int l_Depth = maxDepth(node->left);
int r_Depth = maxDepth(node->right);
if(l_Depth > r_Depth) return (l_Depth+1);
else return (r_Depth + 1);
}
}
node* newNode(int data)
{
node* Node = new node();
Node->data = data;
Node->left = NULL;
Node->right = NULL;
return (Node);
}
int main()
{
node *root = newNode(1);
root->left = newNode(2);
root->right = newNode(3);
root->left->left = newNode(4);
root->left->right = newNode(5);
cout << "Height of tree is " << maxDepth(root) << '\n';
return 0;
}
# Solution
먼저 left노드의 끝으로 가서, left/right 을 다 한번씩 들린다.
null 이니까 -1. 그리고 부모 값인 2로 가서 다시 right 인 5를 들리고, 5의 left / right 를 다 들린다. 물론 null 이니 -1.
다시 부모인 2로 돌아가면 0 + 1 이니 1이다. 그리고 2의 부모인 1로 가서, 3을 간다. 근데 3의 자식이 없으니 0 + 1인 1.
그리고 1로 돌아가면 1 + 1 이 되어서 2가 된다.
# 관련 문제
https://ding-dong-in-future.tistory.com/384
104. Maximum Depth of Binary Tree
Given the root of a binary tree, return its maximum depth. A binary tree's maximum depth is the number of nodes along the longest path from the root node down to the farthest leaf node. Example..
ding-dong-in-future.tistory.com
'STUDY > 알고리즘' 카테고리의 다른 글
| 에라토스테네스의 체 ( Sieve of Eratosthenes ) - C++ (0) | 2022.08.17 |
|---|---|
| 백준 17427 - 약수의 합(C++) (2) | 2022.08.17 |
| 백준 설탕배달 (0) | 2022.08.16 |
| Two Pointer (C++) (2) | 2022.08.11 |
| 유클리드 호제법 (Euclidean Algorithm) in C (2) | 2022.08.03 |