104. Maximum Depth of Binary Tree
2022. 8. 30. 22:28ㆍ카테고리 없음
반응형
Given the root of a binary tree, return its maximum depth.
A binary tree's maximum depth is the number of nodes along the longest path from the root node down to the farthest leaf node.
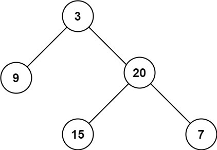
Example 1:

Input: root = [3,9,20,null,null,15,7]
Output: 3
Example 2:
Input: root = [1,null,2]
Output: 2
Constraints:
- The number of nodes in the tree is in the range [0, 104].
- -100 <= Node.val <= 100
# 풀이 #
BS Depth 구하는 문제다.
/**
* Definition for a binary tree node.
* struct TreeNode {
* int val;
* TreeNode *left;
* TreeNode *right;
* TreeNode() : val(0), left(nullptr), right(nullptr) {}
* TreeNode(int x) : val(x), left(nullptr), right(nullptr) {}
* TreeNode(int x, TreeNode *left, TreeNode *right) : val(x), left(left), right(right) {}
* };
*/
class Solution {
public:
int maxDepth(TreeNode* root) {
if(root == NULL) return 0;
int l_depth = maxDepth(root->left);
int r_depth = maxDepth(root->right);
return max(l_depth, r_depth) + 1;
}
};
아쥬 간단한 DP 문제2다.
728x90
반응형